'Vulnerable' countries experience lower COVID-19 infection and death rates than the norm

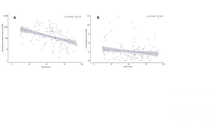
image: Negative association of total Fragile States Index (FSI) scores and COVID-19 (A) cumulative incidence rates and (B) case fatality rates (/1 000) in 146 countries in the world, up to 16 September 2020.

Image: 
Authors

During a pandemic like COVID-19, vulnerable countries are traditionally the focus of global attention and concern. However, new research suggests that we need to rebuild our understanding. A study published in KeAi's Global Health Journal, examined the relationship between state vulnerabilities (measured using the Fragile States Index (FSI) from Fund for Peace) and COVID-19 incidence and death rates in 146 countries. The FSI consists of 12 specific indicators covering cohesion, economy, politics and society. "When using the total FSI score for statistical analysis, we were surprised to find that, overall, the more fragile countries had lower cumulative incidence and fatality rates for COVID-19," explains one of the study's authors, Yangmu Huang.

However, according to Huang, in-depth analysis revealed that vulnerabilities in three specific FSI indicators increased the impact of COVID-19: State Legitimacy (the public's confidence in their state's institutions), External Intervention (influence and impact of external factors), and Security Apparatus (domestic and international security threats to a state).

Huang explains: "State Legitimacy and External Intervention were associated with cumulative incidence rates, while Security Apparatus was associated with the risk of death. This indirectly reflects the important role of health security infrastructure, government leadership and international support in the fight against the pandemic."

Another key finding of the study was that countries with higher levels of economic development were more likely to contract infectious diseases than countries that are more fragile based on the FSI. "This seemingly contradictory finding also has a reasonable explanation: the more developed countries have superior transportation systems, larger population densities, and more free communication, which is conducive to the spread of the virus," says Huang.

She added: "The initial goal of this study was to explore the impact of a broader range of national environmental factors on COVID-19. We searched all the available scoring metrics, and finally chose the FSI, because it was one of the most comprehensive indicators. This finding has significant implications for both political leaders and health professionals. It shows that the impact of socioeconomic and political measures can be more important than healthcare in protecting people from diseases and promoting health. And that it is prudent to balance economic development and human health."

Credit: 
KeAi Communications Co., Ltd.