Oncotarget: Subtypes of thymic epithelial tumors independent of WHO type

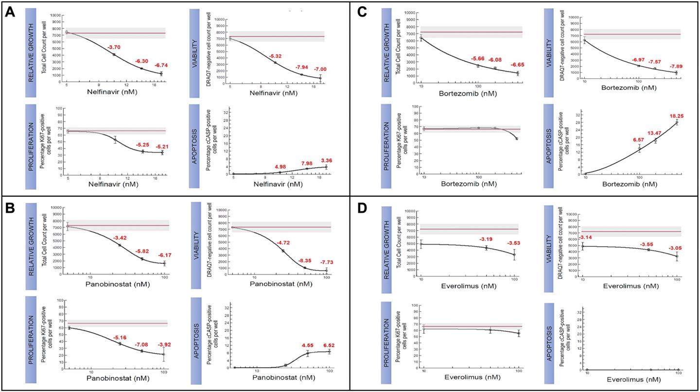
image: Candidate therapeutics tested for TH4 subtype in IU-TAB-1 cell line. Experimental dose-response curves assessing relative growth (Hoechst staining of DNA), proliferation (Ki67), viability (DRAQ7 assay), and apoptosis (caspase) for (A) Nelfinavir, (B) Panobinostat, (C) Bortezomib, and (D) Everolimus. The red line in the experimental graphs indicate DMSO treated control.

Image: 
Correspondence to - Sukhmani K. Padda - sukhmani.padda@cshs.org

Oncotarget published "Genomic clustering analysis identifies molecular subtypes of thymic epithelial tumors independent of World Health Organization histologic type" which reported that genomic information from 102 evaluable TETs from The Cancer Genome Atlas dataset and from the IU-TAB-1 cell line underwent clustering analysis to identify molecular subtypes of TETs.

Six novel molecular subtypes of TETs from the TCGA were identified, and there was no association with WHO histologic subtype.

The IU-TAB-1 cell line clustered into the TH4 molecular subtype and in vitro testing of candidate therapeutics was performed.

Sensitivity to nelfinavir was due to the IU-TAB-1 cell line's gain-of function mutation in PIK3CA and amplification of genes observed from array comparative genomic hybridization, including AURKA, ERBB2, KIT, PDGFRA and PDGFB, that are known upregulate AKT, while resistance to everolimus was primarily driven by upregulation of downstream signaling of KIT, PDGFRA and PDGFB in the presence of mTORC1 inhibition.

The Oncotarget authors present a novel molecular classification of TETs independent of WHO histologic subtype, which may be used for preclinical validation studies of potential candidate therapeutics of interest for this rare disease.

Dr. Sukhmani K. Padda from The Stanford University School of Medicine/Stanford Cancer Institute said, "Thymic epithelial tumors (TETs) are rare tumors that represent a wide spectrum of disease from the indolent thymoma to the more aggressive thymic carcinoma."

Thymoma subtypes include A, AB, B1, B2, B3, and other rare categories; in addition, there are TET subtypes of thymic carcinoma and thymic neuroendocrine tumor.

There have been several molecular analyses performed on TETs, with the The Cancer Genome Atlas reporting on a comprehensive multi-omic analysis of 117 TETs.

Despite the advancement in molecular diagnostics, the molecular aberrations and molecular subtypes discovered from the TCGA have not yet affected therapeutic decisions.

These Oncotarget results may reflect the unselected patient population enrolled in these studies, including no selection for WHO histologic subtype or molecular aberrations.

The goals were to identify novel molecular subtypes of TETs and examine their association with WHO histologic subtypes, and to present a proof-of-concept approach of preclinical validation of candidate therapeutics in a molecularly classified cell line for potential further clinical investigation in this rare disease.

The Padda Research Team concluded in their Oncotarget Research Output that preclinical models for TETs are limited to a handful of cell lines and clinical trials are limited to single-arm phase II studies.

This computational analysis involves data available from tests used routinely in the clinical setting such as targeted next generation sequencing assays, including gene mutations, copy number variations, and chromosomal aberrations.

In this study, computational analysis of the TCGA dataset reveals an updated molecular classification of TETs and identifies 6 unique molecular subtypes; importantly, these subtypes are independent of WHO histologic subtypes.

Only the IU-TAB-1 cell line underwent clustering analysis and was used for preclinical testing of candidate therapeutics for one of the six identified molecular subtypes from the TCGA. Although the IU-TAB-1 cell line reflects the predominant histotype of type AB thymoma from the TCGA dataset and has been extensively characterized by both whole exome sequencing and aCGH, its inherent limitations include generation from an early stage tumor and representation of a histotype that portends a better prognosis and less metastatic potential.

Therefore, future work should involve further genomic characterization and clustering analyses of TETs, particularly from metastatic tumors, and generation of diverse TET cell lines to evaluate whether this proof-of-concept approach of preclinical candidate therapeutic testing in molecularly classified cell lines is promising for clinical translation in patients with this rare disease.

Credit: 
Impact Journals LLC