Oncotarget: The role of EGFR mutations in predicting recurrence in lung adenocarcinoma

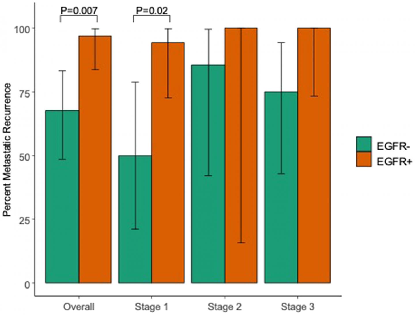
image: Percent of patients with metastatic disease at recurrence based on initial staging and presence of an EGFR driver mutation. Percent metastatic recurrence among those who recurred by EGFR status and initial stage.

Image: 
Correspondence to - Victoria Villaflor - victoria.villaflor@nm.org

into the factors affecting recurrence, particularly tumor molecular genetics such as EGFR mutations, is needed.

These authors conducted a single-center retrospective study of 282 patients with early or locally advanced lung adenocarcinoma, with or without EGFR mutations, who underwent definitive therapy.

Then they assessed recurrence, stage at recurrence, time to recurrence, and progression-free survival.

However, among those who recurred, EGFR-mutated lung cancer had increased rates of metastatic recurrence compared to EGFR-wildtype disease.

Dr. Victoria Villaflor from The Division of Hematology-Oncology, as well as The Robert H. Lurie Comprehensive Cancer Center of Northwestern University in Chicago, Illinois, said, "According to the World Health Organization (WHO), lung cancer is the most common cause of cancer and cancer-related mortality in both men and women worldwide."

Lung cancer can be divided into small cell lung cancer, which accounts for ~15% of cases, and non-small cell lung cancer, which accounts for ~85% of cases.

Despite definitive therapy, 30 55% of patients with early NSCLC will eventually experience disease recurrence and die of their disease.

With tumor molecular genetics at the forefront of precision medicine, subclassification of NSCLC based on EGFR mutation status has been paramount for predicting response to EGFR targeted therapies in unresectable advanced and metastatic disease.

Despite advances in those with unresectable disease, little is known about the prognostic implications of EGFR mutation status in early and locally advanced NSCLC amenable to definitive therapy.

This single-institution retrospective study aims to better understand the implications of EGFR mutation status on localized or locally advanced NSCLC amenable to definitive therapy.

"This single-institution retrospective study aims to better understand the implications of EGFR mutation status on localized or locally advanced NSCLC amenable to definitive therapy"

The Villaflor Research Team concluded in their Oncotarget Research Paper, "this study suggests EGFR mutation as an important marker for predicting metastatic disease recurrence and highlights the growing need for precision medicine in early and locally advanced NSCLC. Early identification of these recurrences is paramount given the improved post-relapse survival observed in this population. A better understanding of the factors leading to relapse rates using prospective, multi-center investigations could help guide future surveillance practices, identify those patients at higher risk, and ultimately extend patient survival."

Journal

Oncotarget

DOI

10.18632/oncotarget.27602

Credit: 
Impact Journals LLC