Oncotarget: The drug sensitivity of hepatocellular cancer cells

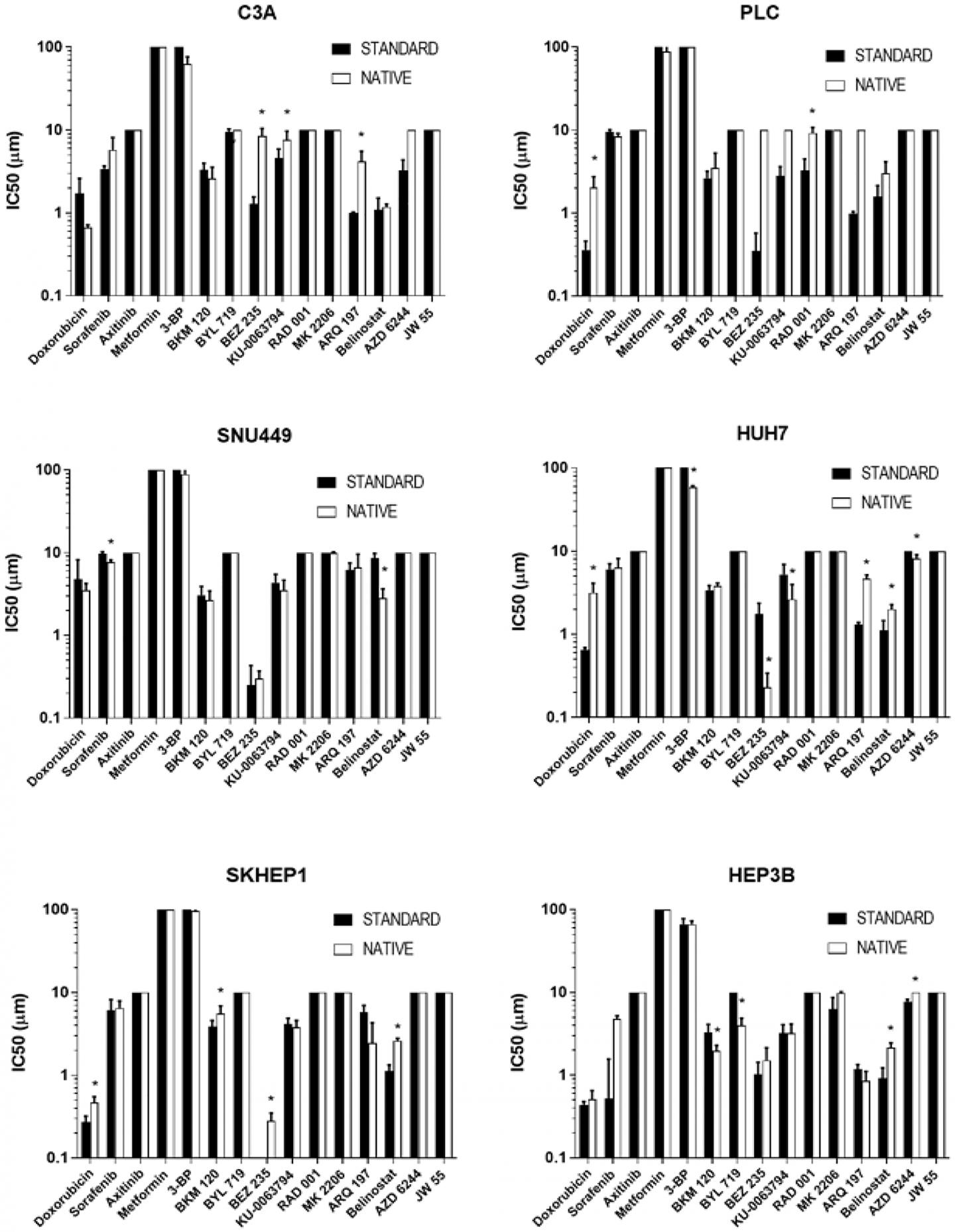
image: Drug sensitivity of cells cultured in standard and native conditions. The IC50 values of respective drugs (x-axis) of respective cells (respective charts) cultured in native (white bars) and standard (black bars) conditions. An asterisk (*) indicates drugs for which there are significant differences (p < 0.05) in IC50 values between native and standard conditions. Data shown are mean log IC50 ? SD from eight independent experiments.

Image: 
Correspondence to - Richie Soong - mdcrcts@nus.edu.sg and Bhaskar Bhattacharya - bhaskar@pascific.com

Oncotarget published "Effect of cell microenvironment on the drug sensitivity of hepatocellular cancer cells" which reported that this study aimed to investigate whether Hepatocellular Cancer (HCC) cells cultured in more native conditions have an altered phenotype and drug sensitivity compared to those cultured in standard conditions.

Six HCC cell lines were cultured in "standard" or more "native" conditions.

HCC cells cultured in native conditions had slower doubling times, increased HK2 and GLUT, lower PHDA and ATP levels, and mutations in mitochondrial DNA.

From 90 comparisons of drug sensitivity, increased resistance and sensitivity for cells cultured in native conditions was observed in 14 and 8 comparisons respectively.

Therefore, cells cultured in more native conditions can have a more glycolytic and aggressive phenotype and varied drug sensitivity to those cultured in standard conditions, and may provide new insights to understanding tumor biology and drug development.

Dr. Richie Soong and Dr. Bhaskar Bhattacharya said, "Hepatocellular carcinoma (HCC) is the third leading cause of cancer related death worldwide, with a poor median survival time after diagnosis of six months."

"Hepatocellular carcinoma (HCC) is the third leading cause of cancer related death worldwide, with a poor median survival time after diagnosis of six months."

Lactate is also high in the HCC microenvironment, owing to the Warburg effect under which tumor cells convert glucose into lactate with an overall less production of Adenosine triphosphate (ATP) compared to mitochondrial oxidative phosphorylation.

As understanding of the tumor microenvironment has increased over time, it has become apparent that the historical culture conditions do not reflect the native tumor microenvironment well, including having increased glucose, increased oxygen, and reduced lactic acid concentrations.

The Oncotarget authors previously showed that gastric cancer cells cultured in low glucose compared to standard high glucose levels had an increased resistance to 5-fluorouracil and carboplatin - concomitant with increased glycolysis and mitochondrial mutation.

This led us to postulate that culturing cells in glucose, oxygen, and lactate conditions that are more consistent with the native tumor microenvironment may provide a better assessment of drug sensitivity, and help lead to higher success rates in drug development.

The goal of this Oncotarget study was to characterize the effect of culturing HCC cells in native compared to standard culture conditions on cellular and molecular phenotypes and drug sensitivity.

The Soong/Bhattacharya Research Team concluded in their Oncotarget Research Output, "we cultured HCC cells in its native environment compared to standard culture conditions, and observed phenotypic and molecular signatures of cells in native conditions pathologically similar to human HCC. The study highlights two important points,

A.New insights in pathogenesis could be gained by culturing cells in conditions closer to physiological conditions, and

B.A better idea of therapeutic response may be obtained by screening experimental agents in cancer cells grown in a microenvironment similar to actual disease setting.

Culturing cells in their native conditions has the potential to identify therapy, either single agent or combination, which would have otherwise been considered ineffective under the currently used artificial environment. Additionally, novel targets may also be identified under native conditions in addition to refining our existing knowledge of tumor biology. Nonetheless, it is important to keep in perspective the exhaustive work of manually concurrently culturing cells in standard and native conditions, and conducting the diverse interrogations, limited this study to understanding of a few cell lines, mechanisms and drugs. Future studies incorporating high-throughput culturing and screening methods, and the testing of other hypotheses and timepoints will help to reveal the scope of generalizability of these findings."

Credit: 
Impact Journals LLC